所谓综合支吊架是一种在安装工程中将给排水、暖通、电气、消防等各专业的支吊架综合在一起,整合成一个支吊架系统。简单说就是用一个支吊架吊挂多个系统、管线,就叫综合支吊架。
采用综合支吊架优点为有利于节省空间、节约成本、加快施工、提高观感。有成品和现场制作两种形式。
1、节省空间:通过整合不同专业的支吊架,可以减少空间占用(吊杆少),使得管线布局更加紧凑和合理。
2、节约成本:综合支吊架可以减少材料的使用量(吊杆少),同时因为施工更为集中,可以降低人工成本。
3、加快施工:统一规划和施工可以减少施工时间和协调工作(减少打吊杆),提高施工效率。
4、提高观感:综合支吊架可以使得管线布局更加整洁(吊杆少,吊架统一),提高整体的美观性。
然而,综合支吊架也存在一些缺点:
1、管综设计复杂:需要对各个专业进行综合考虑,采用综合支吊架的管线应并排平行排列,设计过程更为复杂。
2、荷载高集中:综合吊架一般会吊挂多种管线荷载更大;需要专业的荷载计算来确保综合支吊架系统的合理性和安全性。
3、灵活性降低:一旦综合支吊架系统设计完成,因尺寸较大,后期调整的灵活性较低。
综合支架管综设计篇:
1、设计步骤:
(1)首先对安装工程给排水、暖通、电气、消防等所有专业进行深化设计,利用BIM等工具优化布局,对各专业管线进行综合布置。
(2)根据管线综合布置的结果,制定出支吊架初步方案。
(3)根据方案计算间距、过载重量,再通过计算结果确定吊杆和横梁的尺寸,然后制定支吊架定型方案及大样图。
(4)考虑所有被支吊物最大应力时的极限叠加,要大于而实际受力。做荷载计算,保证综合支吊架的强度。
2、综合支吊架设置原则
| 综合支架 | 总结 | 详细 |
| 何时设置 | 平行多管线 | 多根管线(除风管)综合并排排布底平时采用综合支架; |
| 何处设置 | 挂梁、结构板 | 尽量挂梁设置,减轻楼板承重; |
| 设置距离 | 考虑模数 | 根据柱距设置,柱子距超过8m增设一组(如项目柱距9m/2=4.5m); |
| 何时不共用 | 少量管道 | 独立桥架、水管单独敷设时;
桥架共用支架小于3m时增设支架; 水管共用支架不满足规范50242要求(见下表)时增设支架; 风管段做单独支吊架; |

3、综合排布原则
| 管综原则 | 总结 | 详细 |
| 平面布置 | 集中后场
尽量单层 底高相同 |
管线成排成列集中布置、净空优化,提高观感质量;
地下室综合管线集中在车位、后勤走廊,增加后期使用体感; 大风管靠车位尾部安装,预留出灯具照明空间;-灯靠后 综合管线尽量单层布置,预留足够检修空间; |
| 竖向布置 | 难翻绕↑
检修少↑ 怕漏水↑ |
上下平行时,一般上下顺序:风管(无下开风口)≥桥架≥水管; |
| 距离控制 | 留安装距离,留检修距离 | 水平100、平行上下至少200(另加支架);
桥架与桥架、丝接管道间、控制间为100mm,沟槽管道间距控制为≥120mm,综合管线水电间距控制为120~150mm(根据管线宽度及支架大小控制) |
| 翻绕原则 | 易翻让难翻 | 一般避让顺序:排水>风管>桥架≥水管;
小管让大管、有压让无压; 桥架≤45度翻,水管90度翻,水电综合并排翻弯; |
| 检修原则 | 能上人或上手 | 最小350~400上人空间;
桥架及各类检修阀门排布应放置在便于检修的位置; |
综合支架荷载计算篇
1.安装荷载
设备按动载承重计算;风道按风道自重计算;电缆桥架按承载电缆重量及桥架自重之和计算,各类管道重量按保温管与不保温管两种情况计算。
(1)保温管道:按设计管架间距的管道自重、满管水重、60mm厚度保温层重以及以上三项之和10%的附加重量计算。保温材料容量按岩棉100kg/m³计算。
(2)不保温管道:按设计管架间距内的管道自重、满管水重及以上两项之和10%的附加重量计算。
(3)各种管道间距管重均为计入阀门重量(弯管托座管重包括阀门重量),当管架中有阀门时,在阀门段应采取加强措施。
(4)管架计算管重不足10kg的按10kg计算,超过10kg的按10kg进位化整,如24.3化整为30kg
2.设计荷载
(1)垂直荷载
考虑制造、安装等因素,采用管架间距的标准荷载乘1.35的荷载分项系数。
(2)水平荷载
按垂直荷载的0.3倍计算。
(3)地震荷载
按地震设防烈度≤8度计算地震作用。不考虑风荷载。
3.吊杆
吊杆按轴心受拉构件计算,并考虑了一定的腐蚀余量。吊杆净面积An按下式计算,并满足国标GB/T17116.3。吊杆最大使用荷载见下表。

An-吊杆净截面积(mm²)
N-吊杆拉力设计值(N)
f-钢材强度设计值(N/mm²)
吊杆最大使用荷载

4.横梁
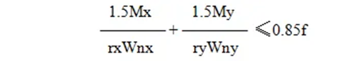
(1)横梁抗弯强度计算

rx、ry-截面塑性发展系数
Mx、My-所验算截面绕x轴和绕y轴的弯矩(N-mm)
Wnx、Wny-所验算截面对x轴和对y轴的净截面抵抗矩(mm³)
f-钢材强度设计值(N/mm²)
(2)横梁抗剪强度计算

r-抗剪强度(N/mm²)
V-计算截面沿腹板平面作用的剪力(N)
S-计算剪力处以上毛截面对中和轴的面积矩(mm³)
Ix-毛截面惯性矩(mm⁴)
tw-腹板厚度(mm)
fv-钢材的抗剪强度设计值(N/mm²)
5.连接计算
焊接连接及螺栓连接按钢结构设计规范的有关公式,计算所需焊缝长度及连接螺栓大小。
6.受弯梁挠度和受压构件长细比的规定
受弯梁绕度不宜大于L/200(L为受弯构件的跨度,对悬臂梁和伸臂梁为悬伸长度的二倍)。受压构件的允许长细比不宜超过120。

