在制药工业中,精确的温度、压力和流量控制是确保产品质量和生产效率的关键因素。PID(比例-积分-微分)控制器作为一种经典的反馈控制系统,在制药设备中发挥着重要作用。PID控制在制药设备中的常见应用:
温度控制:在制药生产过程中,许多反应需要在特定的温度下进行。PID控制器可用于精确地控制反应釜、干燥箱、冷却器等设备的温度,确保反应条件的稳定性和一致性。
压力控制:某些制药过程需要在特定的压力下进行,例如固体制剂的压片过程或液体制剂的灌装过程。PID控制器可用于调节压力控制阀,以确保系统压力的准确控制。
流量控制:在药物生产中,精确的液体和气体流量控制是确保产品质量和反应效率的关键因素。PID控制器可以用于调节泵、阀门和调节器,以实现流体的精确控制。
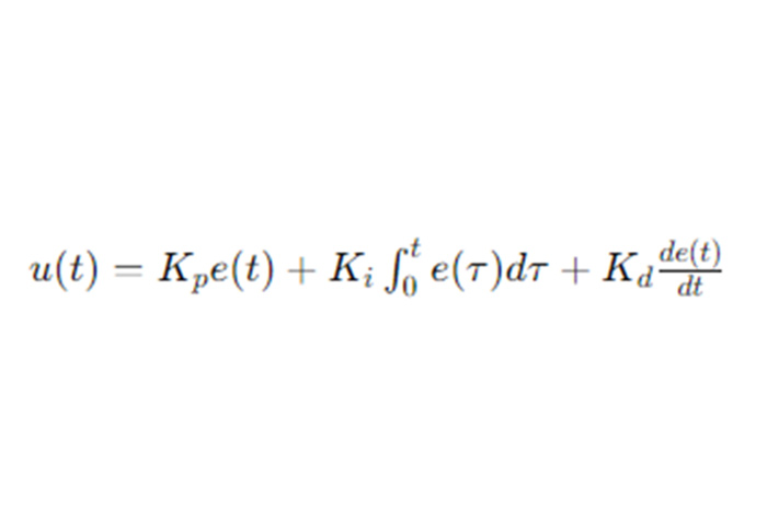
PID控制是一种常用的反馈控制算法,用于调节系统的输出,使其尽可能地接近预期值或目标值。PID代表比例(Proportional)、积分(Integral)、微分(Derivative),这三个术语描述了PID控制器的三个主要部分。

比例(Proportional):比例部分根据当前偏差(目标值与实际值之间的差异)的大小来调节输出。增加比例增益会使系统更快地反应到偏差的变化,但可能会导致过冲和震荡。
积分(Integral):积分部分通过积累偏差的历史信息来调节输出。它对长期偏差进行补偿,确保系统达到稳态。但过大的积分增益可能导致系统响应迟钝或不稳定。
微分(Derivative):微分部分根据偏差的变化率来调节输出。它可以预测系统未来的趋势并减小过冲和震荡,但可能会增加噪声的影响。


Kp 是比例增益,它调节了控制器对误差的响应速度,直接与偏差成正比。
Ki 是积分时间,它调节了控制器对误差的累积响应,用于消除稳态误差。
Kd 是微分时间,它调节了控制器对误差变化率的响应,用于抑制过冲和振荡。
现实中,当你在驾驶一辆汽车时,其实你就像是一个PID控制器:
当你发现车偏离了道路中心线,你会立即调整方向盘,使车回到正确的位置。你对方向盘的直接反应就是比例控制(P)。这个调整的幅度取决于车辆与中心线的距离,就像比例控制根据当前误差的大小来调整输出。
如果你一直保持车辆偏离中心线的方向,你会逐渐增加对方向盘的调整力度,以便更快地使车回到中心线附近,就像积分控制(I)消除长期偏差一样。
如果你发现车辆的偏离速度很快,你会轻微地调整方向盘,以平稳地使车回到中心线附近,就像微分控制(D)抑制快速变化一样。
综合这三种控制方式,你可以在驾驶时保持车辆稳定行驶在正确的路线上,就像PID控制器帮助保持系统在稳定状态一样。
以常见应用,温度控制为例:
假设我们有一个温度控制系统,例如一台加热炉,我们希望将其控制在一个特定的目标温度。PID控制器可以帮助我们实现这一目标。
比例部分(P):比例部分根据当前温度偏离目标温度的大小来调节加热器的功率。如果当前温度偏离目标温度很远,比例部分会产生一个较大的控制输出,以加快接近目标温度的速度。
积分部分(I):积分部分考虑了温度偏差的累积。如果存在稳态误差,即即使比例部分已经尽力调节,但仍然存在一个持续的小偏差,积分部分会逐渐增加控制输出,以消除这种持续的偏差。
微分部分(D):微分部分根据温度变化的速率来调节控制输出。如果温度变化速度很快,微分部分会产生一个较大的控制输出,以减缓温度的变化速度,从而避免过冲或震荡。
通过这三个部分的作用,PID控制器可以使加热炉的温度快速而稳定地接近目标温度,并且在达到目标温度后保持稳定。过程如下图:

或者想象你有一台饮水机,你想要保持出水口的水温稳定在一个特定的温度。PID控制就像是你在调节饮水机的三个旋钮来达到这个目标。
比例(P)旋钮控制着水温的快速调整。当水温偏离了目标温度时,比例旋钮会告诉饮水机立即调整加热或冷却来快速使水温回到目标。
积分(I)旋钮考虑了水温持续偏离目标的时间。如果水温长时间偏离目标,积分旋钮会逐渐增加加热或冷却的力度,以更快地将水温带回目标。
微分(D)旋钮则观察水温的变化速度。如果水温变化过快,微分旋钮会微调加热或冷却的力度,以避免温度的剧烈波动。
通过灵活地调整这三个旋钮,你可以保持饮水机出水口的水温稳定在理想的温度,就像使用PID控制器来保持温度稳定一样。
PID控制在制药设备中发挥着关键作用,为制药生产过程提供了精确的温度、压力和流量控制。通过合理地设计和调整PID控制器,可以实现制药过程的自动化和优化,提高生产效率和产品质量,促进制药工业的发展。在未来,随着技术的不断进步,PID控制器仍将继续发挥重要作用,为制药生产带来更多的创新和发展。

