设备、管道绝热是为了减少或防止设备、管道及其附件向周围环境吸收热量,在设备、管道外表面增加保冷层的措施。
设备、管道在以下工况的应进行保冷设计:
1)设备、管道投运时为了减少冷介质及载冷介质在运行过程中冷损失的;
2)设备、管道投运时为了防止或降低冷介质及载冷介质在运行过程中温度升高或气化的;
3)设备、管道投运时为了防止273K(0℃)以上常温以下其外表面出现凝露的;
4)设备、管道投运时没有保冷要求,但其外表面温度低于273K(0℃)且无法采取其他措施防止引起冻伤的部位。
设备、管道保冷材料要求
1)绝热材料的物理、化学性能满足设计要求前提下,应优先选用导热系数低、密度小的;
2)用于保冷的材料在平均温度为298K(25℃)时导热系数不小于0.050W/(m·K),密度不宜大于180kg/m3;
3)除软质、半硬质、松散状材料外,硬质无机成型制品的抗压强度不应小于0.5MPa,有机成型制品的抗压强度不应小于0.20MPa;
4)用于保温、保冷垫块、支架等有较大承压要求的部位时,应按下表的要求进行选择。
垫块或支架类材料的性能要求
| 项目 | 密度
kg/m3 |
抗压强度
MPa |
导热系数
W/(m·K) |
| 泡沫玻璃 | ≥120 | ≥0.8 | ≤0.045(平均温度25℃) |
| 高密度聚异氰脲酸脂 | 100±24 | ≥2.0 | ≤0.038(平均温度25℃) |
| 225±34 | ≥3.5 | ≤0.045(平均温度25℃) | |
| 320±48 | ≥6.5 | ≤0.055(平均温度25℃) | |
| 400±60 | ≥12.0 | ≤0.075(平均温度25℃) | |
| 500±75 | ≥18.0 | ≤0.080(平均温度25℃) | |
| 硅酸钙 | 220±22 | ≥1.5 | ≤0.060(平均温度70℃) |
| 300±30 | ≥2.5 | ≤0.080(平均温度70℃) | |
| 400±40 | ≥3.5 | ≤0.100(平均温度70℃) | |
| 1000±50 | ≥15.0 | ≤0.220(平均温度70℃) | |
| 珍珠岩混凝土 | ≥900 | ≥5.5 | ≤0.250(平均温度0℃) |
常用保冷材料及燃烧等级划分
| 泡沫塑料 | 缩写简称 | 特点 | 导热系数
W/(m·K) |
| 模塑聚苯乙烯泡沫塑料 | EPS | 以可膨胀聚苯乙烯树脂或其共聚物珠粒为原料,在模具中成型的含有大量以空气填充闭孔结构的硬质泡沫塑料。 | 0.039 |
| 挤塑聚苯乙烯泡沫塑料 | XPS | 以聚苯乙烯树脂或其共聚物为主要成分,通过加热挤出成型而制成的具有闭孔结构的硬质泡沫塑料。 | 0.030 |
| 柔性泡沫橡塑 | FEF | 由含有经有机或无机添加剂改性的其他高分子材料和化学物质的天然橡胶、人工合成橡胶或其混合物制成的柔性绝热制品。 | 0.041 |
| 酚醛泡沫橡塑 | PF | 由苯酚及同系化合物、衍生物和醛类的缩聚物制成的硬质泡沫塑料。 | 0.033 |
| 聚乙烯泡沫橡塑 | PFE | 以乙烯和丙烯制成的聚合物为主要成分的半硬质或柔性泡沫塑料。 | 0.047 |
| 聚氨酯泡沫橡塑 | PUR | 以聚氨酯为主要成分制成的具有大量封闭泡孔的硬质或半硬质泡沫塑料。 | 0.024 |
| 脲醛泡沫橡塑 | UF | 以尿素和甲醛为主要原料缩聚成氨基树脂后制成的具有大量开孔结构的泡沫塑料。 | 0.040 |
| 聚氯乙烯泡沫橡塑 | VCM | 以氯乙烯共聚物为主要成分制成的具有大量封闭泡孔的硬质或半硬质的泡沫塑料。 | 0.034 |
| 聚异氰脲酸脂泡沫橡塑 | PIR | 以异氰酸酯类共聚物为主要成分制成的具有大量闭孔结构的硬质泡沫塑料。 | 0.024 |
| 泡沫塑料:整体分布大量泡孔(互连或不互联)以降低密度的塑料绝热材料的总称。 | |||
保冷材料燃烧性能等级划分
| 燃烧性能等级 | 名称 |
| A | 不燃材料(制品) |
| B1 | 难燃材料(制品) |
| B2 | 可燃材料(制品) |
| B3 | 易燃材料(制品) |
保冷计算(保冷层厚度和冷损失)
保冷板计算公式:
计算-2.png)
δ—保冷层厚度,单位为m;
λ—保冷材料制品热导率W/(m·K);
t—设备和管道的外表面温度,单位开尔文【K(℃)】;
ta—环境温度,单位开尔文【K(℃)】;
a—保冷层外表面与大气的换热系数,单位为【W/(m2·K)】;
保冷管计算公式:
计算-3.png)
Do—保冷层外径,单位为m;
Di—保冷层内径,单位为m;
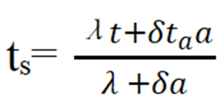
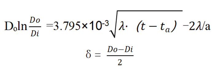
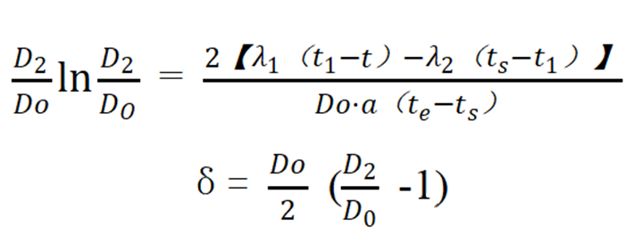
防止表面凝露的保冷层厚度计算
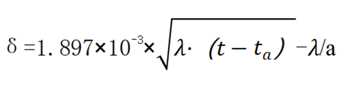
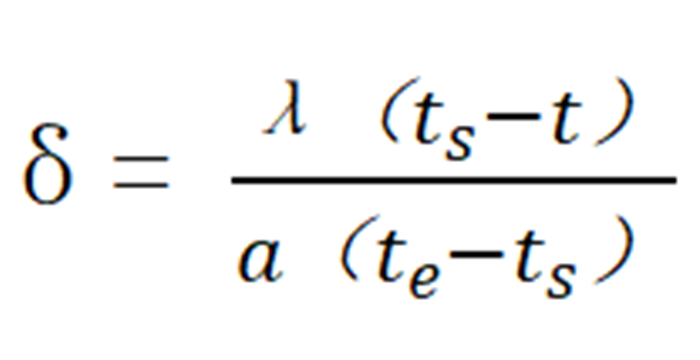
单层保冷板表面防凝露厚度计算公式:
计算-4.png)
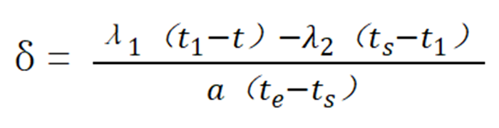
双层保冷板表面防凝露厚度计算公式:
计算-5.png)
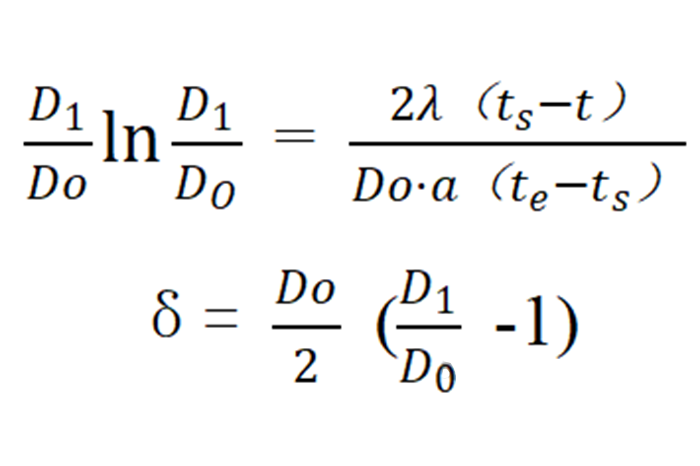
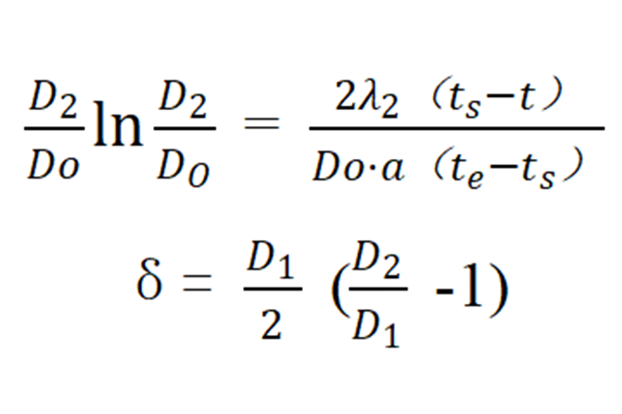
δ—单层保冷层厚度或双层保冷层厚度,单位为m;
λ—单层保冷材料制品热导率W/(m·K);
t—设备和管道的外表面温度,单位开尔文【K(℃)】;
te—单层保冷层外表面温度或双层保冷层第二层(外层)外表面温度,单位开尔文【K(℃)】;
ts—保冷层外表面温度,单位开尔文【K(℃)】;
t1—第一层(内层)保冷层外表面温度,第一、二保冷层间界温度,单位开尔文【K(℃)】;
a—保冷层外表面与大气的换热系数,单位为【W/(m2·K)】;
λ1—第一层保冷层材料制品热导率W/(m·K);
λ2—第二层保冷层材料制品热导率W/(m·K);
单层保冷板表面防凝露厚度计算公式:
计算-6.png)
双层保冷板表面防凝露厚度计算公式:
计算-7.png)
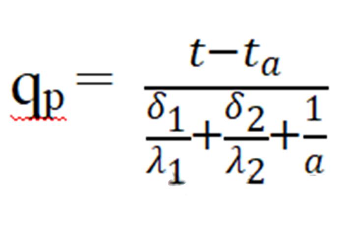
第一层(内层)厚度计算公式:
计算-8.png)
第二层(外层)厚度计算公式:
计算-9.png)
Do—管道、圆形设备的外径,单位为m;
D1—管道、圆形设备的单层保冷层外径,或第一层(内层)保冷层外径,单位为m;
D2—管道、圆形设备的第二层(外层)保冷层外径,单位为m;
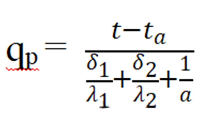
保冷层冷损失计算
单层保冷板冷损失计算公式:
计算-10.png)
双层保冷板冷损失计算公式:
计算-11.png)
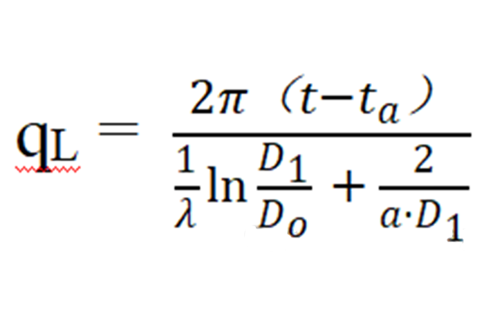
单层保冷管冷损失计算公式:
计算-12.png)
双层保冷管冷损失计算公式:
计算-13.png)
q—单位冷损失
平面:单位为(W/m2);
管道:单位为(W/m);
Ri—保温层内径,单位为m;
平面:单位为(m2·K/W);
管道:单位为(m·K/W);
Rs—保温层内径,单位为m;
平面:单位为(m2·K/W);
管道:单位为(m·K/W);
Do—管道、圆形设备的外径,单位为m;
D1—管道、圆形设备的单层保冷层外径,或第一层(内层)保冷层外径,单位为m;
保冷层外表面温度计算
单层保冷板外表面温度计算公式:
计算-14.png)
双层保冷板外表面温度计算公式:
计算-15.png)
单层保冷管外表面温度计算公式:
计算-16.png)
双层保冷管外表面温度计算公式:
计算-17.png)
ts—保冷层外表面温度,单位【K(℃)】;
保冷计算主要数据选取原则
温度:
外表面温度t
无衬里的设备和管道的表面温度t,取介质的正常运行温度;
注:衬里指的是设备内或管道内是复合管(管内再套管)。
环境温度ta
环境温度ta常年运行的取历年之平均温度的平均值,如果是季节性运行的取历年运行期日平均温度的平均值;
表面放热系数a
设备、管道的保温结构外表面放热系数a一般取11.63W/(m2·K);
热导率λ
保温材料制品的热导率按表保冷材料表选取;
| 泡沫塑料 | 缩写简称 | 特点 | 导热系数
W/(m·K) |
| 模塑聚苯乙烯泡沫塑料 | EPS | 以可膨胀聚苯乙烯树脂或其共聚物珠粒为原料,在模具中成型的含有大量以空气填充闭孔结构的硬质泡沫塑料。 | 0.039 |
| 挤塑聚苯乙烯泡沫塑料 | XPS | 以聚苯乙烯树脂或其共聚物为主要成分,通过加热挤出成型而制成的具有闭孔结构的硬质泡沫塑料。 | 0.030 |
| 柔性泡沫橡塑 | FEF | 由含有经有机或无机添加剂改性的其他高分子材料和化学物质的天然橡胶、人工合成橡胶或其混合物制成的柔性绝热制品。 | 0.041 |
| 酚醛泡沫橡塑 | PF | 由苯酚及同系化合物、衍生物和醛类的缩聚物制成的硬质泡沫塑料。 | 0.033 |
| 聚乙烯泡沫橡塑 | PFE | 以乙烯和丙烯制成的聚合物为主要成分的半硬质或柔性泡沫塑料。 | 0.047 |
| 聚氨酯泡沫橡塑 | PUR | 以聚氨酯为主要成分制成的具有大量封闭泡孔的硬质或半硬质泡沫塑料。 | 0.024 |
| 脲醛泡沫橡塑 | UF | 以尿素和甲醛为主要原料缩聚成氨基树脂后制成的具有大量开孔结构的泡沫塑料。 | 0.040 |
| 聚氯乙烯泡沫橡塑 | VCM | 以氯乙烯共聚物为主要成分制成的具有大量封闭泡孔的硬质或半硬质的泡沫塑料。 | 0.034 |
| 聚异氰脲酸脂泡沫橡塑 | PIR | 以异氰酸酯类共聚物为主要成分制成的具有大量闭孔结构的硬质泡沫塑料。 | 0.024 |
| 泡沫塑料:整体分布大量泡孔(互连或不互联)以降低密度的塑料绝热材料的总称。 | |||
设备、管道保冷效果的测试与评价
测试方法
| 测试方法 | 具体操作 |
| 热平衡法 | 使用热平衡原理通过测量和计算得到散热(冷)损失值的方法。 |
| 热流计法 | 采用热阻式热流计,将其传感器埋设在绝热结构内或贴敷在绝热结构外表面直接测量得到散热(冷)损失数值。 |
| 表面温度法 | 根据所测得的表面温度、环境温度、风速、表面热发射率以及绝热结构外形尺寸等参数值,按照传热理论计算出散热损失数值的方法。 |
| 温差法 | 通过测试绝热结构内、外表面温度、绝热结构厚度以及绝热结构在使用温度下的传热性能,按照传热理论计算出散热(冷)损失数值的方法。 |
测试要求
测试参数:
1)保冷结构外表面温度;
2)环境温度、风速;
3)设备、管道及其附件外表面温度。
传感器安装要求:
热流传感器
1)安装时宜将热流传感器放在外保护层内,附在保温材料面层。除非需要测定连接处的热损失,否则应避免放置在保温层的接缝处。
热电偶
1)将热电偶丝焊在一块导热性能良好的金属集热块或片上,再整体贴敷到被测表面上;
2)将热电偶焊在或埋在被测面上专门开的小槽内;
3)热电偶丝沿等温面紧密接触的长度应不小于100mm;
测试要求
1)尽量在风速等于或小于0.5m/s的条件下进行测试,如不满足时应增加挡风装置。
2)室外测试应选择在阴天或夜间进行,如不能满足时应加用遮阳装置,稳定一段时间后再测试。
3)环境温度应在距离被测位置1m处测得,并应避免其他热源的影响。
测试保冷评价
1)保冷结构外表面温度换算结果高于设计工况下的露点温度时视为防冷凝露指标合格;
2)凡防止外表面凝露的保冷结构其外表面温度换算结果高于设计工况下的露点温度时视为合格。
凡根据允许冷损失量设计的保冷结构其外表面温度换算结果高于设计工况下的露点温度,同时其冷损失量小于设计工况的允许冷损失量时视为合格。
计算-1.png)

