分汽缸也叫分汽包,是蒸汽锅炉的主要配套设备,广泛用于发电、石油化工迈钢铁、水泥、建筑等行业,以用于蒸汽的控制、调节和分配,这样既有利于蒸汽的集中管理,又可避免在主蒸汽管或蒸汽母管上因设置供汽支管而过多的开孔。

分汽缸的作用
(1)贮汽、调节气体压力的作用;
(2)汽体分流作用,通过分汽缸可使压力均衡地分出多路支管供不同用汽设备的供汽之用;
(3)分汽缸罐体直径较管路大,热媒通过管路进入分汽缸后流速大大降低,汽体中杂质通过汽水分离下沉到分汽缸罐体底部,然后通过排污管排至污水集水坑中;
(4)分汽缸像空压机储气罐一样,罐体直径越大,容积越大,其均衡调压作用和效果越好。

分汽缸工艺尺寸的确定
分汽缸由于输入或输出管的数量、方位、管径等可变因素较多,难以统一为标准设计和定型产品,每一台分汽缸都需要单独设计、单独制造,且分汽缸属压力容器,其设计、制造必须符合压力容器要求。
1)压力与温度的确定
为与エ业锅炉工作压力相适应,组合式分汽缸的工作压力有两个等级,即1.57MPa和1.27MPa,每种压力等级各有饱和温度和350℃过热温度两种。如果分汽缸用于锅炉房可以以锅炉的工作压力及工作温度为准;如用于热网蒸汽配汽站,应考虑输出蒸汽汽源的最高参数;高温热水的分汽缸,一般选用エ作压力为1.27MPa,温度为饱和温度已可满足要求。
2)筒体直径的确定
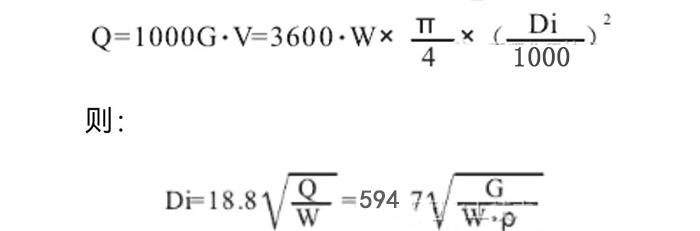
分汽缸的筒体直径可通过流量公式,根据介质流速,同时参考筒体材料的通用规格来确定。
由流量公式:

式中:
Q -﹣容积流量, m / h ;
G -﹣介质的重量流量,即蒸发量, t/h ;
p –介质的密度, kg/m ;饱和蒸汽与其压力有关;过热蒸汽与过热蒸汽温度有关。
Di -﹣筒体内径, mm ;
W -﹣介质的流速,m/s;一般取2~8m/s;
经验证明,蒸汽流速在此范围内比较合适。 W 过大,热力特性和效果差; W 过小,不经济。
在确定筒体直径时,还应考虑锅炉主蒸汽管径(d)大小对分汽缸筒体强度的影响。根据GB150-98《钢制压力容器》规定,当筒体内径Di ≤1500mm时,其开孔最大直径d≤1/2Di,且d ≤520mm。

另外,也可采用经验查表确定筒体直径。根据所需接管的最大管径从表1中查的允许选用的分汽缸最小缸体直径,但考虑到汽压和汽流的稳定,缸体直径可放大1~2档。

3)接管的排列
接管一般垂直安装在分汽缸的缸体上,如特殊需要也可以水平安装在封头顶端,接管的数量、管径和方位根据需要排列,但还需考虑压力表、温度计和集水筒等固定管座,这些管座的排列位置和间距尺寸见表2。管座之间中心距可根据表3所列尺寸确定。


分汽缸的设计中应注意的问题
(1)从分汽缸引出的支管最大外径d与分汽缸内径 d 应满足以下关系:d<1/2D;
(2)在分汽缸罐体上布置支管时应注意各支管法兰不能相碰,法兰外径间最小间距△L≥20mm,且应选用公称压力PN ≥1.0MPa的法兰;
(3)分汽缸上应设置压力表、温度表、安全阀和排污口等;


(4)分汽缸应靠墙安装,可在墙上安设角钢作为支承或安设两个支承落地座作为支承;
(5)分汽缸宜设置在热交换间、锅炉房等设备用房内以便于操作、观测和检修;
(6)分汽缸在使用之前应进行清污,并通过排污管将污物排除干净,方可与其他管道阀门连接;
(7)分汽缸干管入口处宜设置滤污器,以防止杂物进入,之后再进入换热器等其它设备中。

