高速管式离心机是国内目前工业生产离心机中分离因子(离心力)最大的设备,其最大的缺点是单机生产能力小、劳动强度大。高速管式离心机主要适用于被分离物料的固相含量小于5%,颗粒直径大于1-2微米的物料固液分离;也适用固液相密度相差较小的悬浮液澄清、轻重液相密度相差较小和分散性很高的乳浊液分离。
为了充分发挥发酵中试平台两台高速管式离心机强大的离心分离功能,近年来,我们依据不断提高的试验和运行安全要求,持续对原有装备进行升级改造,有力保障各种项目分离工艺开发进程。
一、高速管式离心机稳定基础维护
高速管式离心机自重大、转速高,产生的离心大大,设备对地面基础的水平保持和稳定性要求特别高,鉴于大楼原有地面基础的硬度和水平达不到高速管式离心机的固定安装要求,我们2014年9月对原有地面基础进行彻底改造,将砂石地面改造成水泥钢筋基座,为此实现设备运行过程中地面水平的稳定,从而保障设备操作安全和长期稳定运行。

二、高速管式离心机日常操作管理
高速管式离心机自重大、转速高,设备转鼓、吊轴、轴承、保护套、传动底座等部件微小磨损和偏离就可能导致系统动平衡偏移进而使得设备整体产生巨大振动,威胁设备运行安全和操作人员安全。2014年10月我们编写完成高速管式离心机标准操作程序和设备运行安全事项,对于使所内试验人员设备使用提供三次现场直接指导,指导过程中由我方负责设备安装和拆装,试验人员使用三次以后,综合考虑试验人员设备熟悉程度,逐渐赋予其设备使用权限,同时要求每次设备安装后必须由我方检查确认无误后方可开机运行设备。试验过程严格检查、严格要求,保障设备运行和操作人员安全万无一失。

三、高速管式离心机电源启动改造
高速管式离心机是整个后处理车间运行风险最高的设备,原有设计是采用工业电源直接连接的电源启动方式,这使得设备运转加速没有任何缓冲极短时间就达到最高速(19000rpm),设备转鼓、吊承、保护套、传动底座稍有偏差就有可能造成整个设备剧烈震动以至部件碎裂飞出而造成人员安全风险。2018年4月,我们完成了高速管式离心机的变频启动改造。改造后的变频启动方式可以大幅度降低设备电机启动时造成的冲击载荷,控制电机速度,实现设备软启动,同时还能提高电网及电动机的效率,避免设备启动时空气开关跳闸。

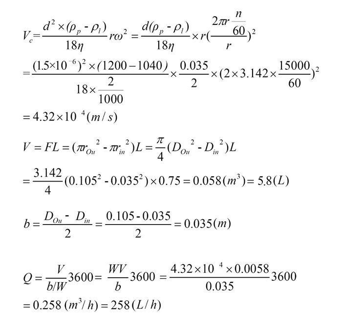
四、高速管式离心机处理速度理论计算
发酵物料在高速管式离心机中的离心速度与菌体直径、菌体密度、溶液粘度、转鼓的参数等多种因素有关,其物理模式符合改进的斯托克斯定律(Stokes’Law)。如果能够明确发酵菌体相关物理化学参数,对于发酵物料在高速管式离心机中的处理速度,我们可以进行理论计算:
某大肠杆菌发酵上清密度:1040kg/m3;菌体密度:1200kg/m3;发酵液粘度: 2cP=2´10-3Pa·s;菌体直径: 1.5mm;转鼓内径:0.105m;溢流口内径:0.035m,计算得出最佳的物料处理速度为258L/h。

上面计算过程参考下面已经绝版的一本发酵后处理产能计算绝版书
发酵中试平台高速管式离心机自从2014年1月正式进行设备使用登记,截至2024年9月20日,累计处理发酵物料647批次,累计处理物料214.8吨,设备运行十年来未发生设备事故和人员操作事故,高效的保障了课题组相关项目的分离工艺开发。展望未来,发酵中试平台高速管式离心力将在以往严格管理、安全运行的基础上,更加注重设备离心能力与其他关联技术耦合,争取为相关项目的中小型分离工艺发挥更大的作用。


