1.流体流径的选择
哪一种流体流经换热器的管程,哪一种流体流经壳程,下列各点可供选择时参考(以固定管板式换热器为例)

(1) 不洁净和易结垢的流体宜走管内,以便于清洗管子。
(2) 腐蚀性的流体宜走管内,以免壳体和管子同时受腐蚀,而且管子也便于清洗和检修。
(3) 压强高的流体宜走管内,以免壳体受压。
(4) 饱和蒸气宜走管间,以便于及时排除冷凝液,且蒸气较洁净,冷凝传热系数与流速关系不大。
(5) 被冷却的流体宜走管间,可利用外壳向外的散热作用,以增强冷却效果。
(6) 需要提高流速以增大其对流传热系数的流体宜走管内,因管程流通面积常小于壳程,且可采用多管程以增大流速。
(7) 粘度大的液体或流量较小的流体,宜走管间,因流体在有折流挡板的壳程流动时,由于流速和流向的不断改变,在低Re(Re>100)下即可达到湍流,以提高对流传热系数。
在选择流体流径时,上述各点常不能同时兼顾,应视具体情况抓住主要矛盾,例如首先考虑流体的压强、防腐蚀及清洗等要求,然后再校核对流传热系数和压强降,以便作出较恰当的选择。
- 流体流速的选择
增加流体在换热器中的流速,将加大对流传热系数,减少污垢在管子表面上沉积的可能性,即降低了污垢热阻,使总传热系数增大,从而可减小换热器的传热面积。但是流速增加,又使流体阻力增大,动力消耗就增多。所以适宜的流速要通过经济衡算才能定出。
此外,在选择流速时,还需考虑结构上的要求。例如,选择高的流速,使管子的数目减少,对一定的传热面积,不得不采用较长的管子或增加程数。管子太长不易清洗,且一般管长都有一定的标准;单程变为多程使平均温度差下降。这些也是选择流速时应予考虑的问题。
- 流体两端温度的确定
若换热器中冷、热流体的温度都由工艺条件所规定,就不存在确定流体两端温度的问题。若其中一个流体仅已知进口温度,则出口温度应由设计者来确定。例如用冷水冷却某热流体,冷水的进口温度可以根据当地的气温条件作出估计,而换热器出口的冷水温度,便需要根据经济衡算来决定。为了节省水量,可使水的出口温度提高些,但传热面积就需要加大;为了减小传热面积,则要增加水量。两者是相互矛盾的。一般来说,设计时可采取冷却水两端温差为5~10℃。缺水地区选用较大的温度差,水源丰富地区选用较小的温度差。
- 管子的规格和排列方法
选择管径时,应尽可能使流速高些,但一般不应超过前面介绍的流速范围。易结垢、粘度较大的液体宜采用较大的管径。我国目前试用的列管式换热器系列标准中仅有φ25×2.5mm及φ19×mm两种规格的管子。
管长的选择是以清洗方便及合理使用管材为原则。长管不便于清洗,且易弯曲。一般出厂的标准钢管长为6m,则合理的换热器管长应为1.5、2、3或6m。系列标准中也采用这四种管长。此外,管长和壳径应相适应,一般取L/D为4~6(对直径小的换热器可大些)。如前所述,管子在管板上的排列方法有等边三角形、正方形直列和正方形错列等。等边三角形排列的优点有:管板的强度高;流体走短路的机会少,且管外流体扰动较大,因而对流传热系数较高;相同的壳径内可排列更多的管子。正方形直列排列的优点是便于清洗列管的外壁,适用于壳程流体易产生污垢的场合;但其对流传热系数较正三角排列时为低。正方形错列排列则介于上述两者之间,即对流传热系数(较直列排列的)可以适当地提高。

管子在管板上排列的间距 (指相邻两根管子的中心距),随管子与管板的连接方法不同而异。通常,胀管法取t=(1.3~1.5)do,且相邻两管外壁间距不应小于6mm,即t≥(d+6)。焊接法取t=1.25do。
- 管程和壳程数的确定
当流体的流量较小或传热面积较大而需管数很多时,有时会使管内流速较低,因而对流传热系数较小。为了提高管内流速,可采用多管程。但是程数过多,导致管程流体阻力加大,增加动力费用;同时多程会使平均温度差下降;此外多程隔板使管板上可利用的面积减少,设计时应考虑这些问题。列管式换热器的系列标准中管程数有1、2、4和6程等四种。采用多程时,通常应使每程的管子数大致相等。
管程数m可按下式计算,即:
m=u/u’
式中u―――管程内流体的适宜速度, m/s;
u′―――管程内流体的实际速度, m/s。

当壳方流体流速太低时,也可以采用壳方多程。如壳体内安装一块与管束平行的隔板,流体在壳体内流经两次,称为两壳程。但由于纵向隔板在制造、安装和检修等方面都有困难,故一般不采用壳方多程的换热器,而是将几个换热器串联使用,以代替壳方多程。例如当需二壳程时,则将总管数等分为两部分,分别安装在两个内径相等而直径较小的外壳中,然后把这两个换热器串联使用。

- 折流挡板
安装折流挡板的目的,是为了加大壳程流体的速度,使湍动程度加剧,以提高壳程对流传热系数。
最常用的为圆缺形挡板,切去的弓形高度约为外壳内径的10~40%,一般取20~25%,过高或过低都不利于传热。
两相邻挡板的距离(板间距)h为外壳内径D的(0.2~1)倍。系列标准中采用的h值为:固定管板式的有150、300和600mm三种;浮头式的有150、200、300、480和600mm五种。板间距过小,不便于制造和检修,阻力也较大。板间距过大,流体就难于垂直地流过管束,使对流传热系数下降。


- 外壳直径的确定
换热器壳体的内径应等于或稍大于(对浮头式换热器而言)管板的直径。根据计算出的实际管数、管径、管中心距及管子的排列方法等,可用作图法确定壳体的内径。但是,当管数较多又要反复计算时,作图法太麻烦费时,一般在初步设计时,可先分别选定两流体的流速,然后计算所需的管程和壳程的流通截面积,于系列标准中查出外壳的直径。待全部设计完成后,仍应用作图法画出管子排列图。为了使管子排列均匀,防止流体走”短路”,可以适当增减一些管子。
另外,初步设计中也可用下式计算壳体的内径,即:

式中D――――壳体内径, m;
t――――管中心距, m;
nc―――-横过管束中心线的管数;
b′―――管束中心线上最外层管的中心至壳体内壁的距离,
一般取b′=(1~1.5)do。
管子按正三角形排列时:

管子按正方形排列时:

8.主要构件
封头 封头有方形和圆形两种,方形用于直径小的壳体(一般小于400mm),圆形用于大直径 的壳体。
缓冲挡板 为防止壳程流体进入换热器时对管束的冲击,可在进料管口装设缓冲挡板。
导流筒 壳程流体的进、出口和管板间必存在有一段流体不能流动的空间(死角),为了提 高传热效果,常在管束外增设导流筒,使流体进、出壳程时必然经过这个空间。
放气孔、排液孔 换热器的壳体上常安有放气孔和排液孔,以排除不凝性气体和冷凝液等。
接管尺寸 换热器中流体进、出口的接管直径按下式计算,即:

式中Vs–流体的体积流量,m3/s;
u –接管中流体的流速, m/s。
流速u的经验值为:
对液体 u=1.5~2 m/s
对蒸汽 u=20~50 m/s
对气体 u=(15~20)p/ρ
9. 材料选用
列管换热器的材料应根据操作压强、温度及流体的腐蚀性等来选用。在高温下一般材料的机械性能及耐腐蚀性能要下降。同时具有耐热性、高强度及耐腐蚀性的材料是很少的。目前 常用的金属材料有碳钢、不锈钢、低合金钢、铜和铝等;非金属材料有石墨、聚四氟乙烯和玻璃等。不锈钢和有色金属虽然抗腐蚀性能好,但价格高且较稀缺,应尽量少用。
10. 流体流动阻力(压强降)的计算
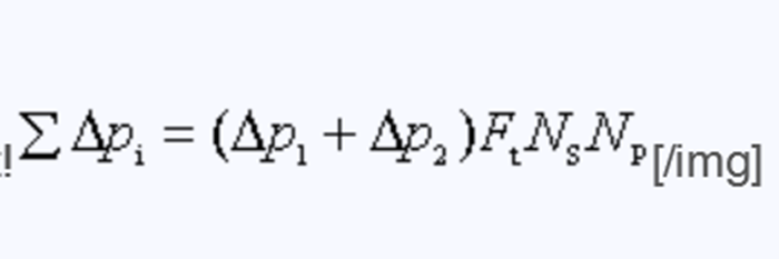
(1) 管程流体阻力 管程阻力可按一般摩擦阻力公式求得。对于多程换热器,其总阻力 Δpi等于各程直管阻力、回弯阻力及进、出口阻力之和。一般进、出口阻力可忽略不计,故管程总阻力的计算式为:

式中 Δp1、Δp2——分别为直管及回弯管中因摩擦阻力引起的压强降;
Ft—–结垢校正因数,无因次,对于φ25×2.5mm的管子, 取为1.4,对φ19×2mm的管子,取为1.5;
Np—–管程数;
Ns—–串联的壳程数。
上式中直管压强降Δp1可按第一章中介绍的公式计算;回弯管的压强降Δp2由下面的经验公式估算,即:

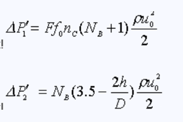
(2) 壳程流体阻力 现已提出的壳程流体阻力的计算公式虽然较多,但是由于流体的流动状况比较复杂,使所得的结果相差很多。下面介绍埃索法计算壳程压强Δpo的公式,

式中 Δp1′——-流体横过管束的压强降;
Δp2′——-流体通过折流板缺口的压强降;
Fs ——–壳程压强降的结垢校正因数,无因次,对液体可取1.15,对气体或可凝蒸气 可取1.0;

式中 F—-管子排列方法对压强降的校正因数,对正三角形排列F=0.5,对正方形斜转45°为0.4,正方形排列为0.3;
fo—-壳程流体的摩擦系数,当Reo>500时;

(1) 确定流体在换热器中的流动途径。
(2) 根据传热任务计算热负荷Q。
(3) 确定流体在换热器两端的温度,选择列管式换热器的型式;计算定性温度,并确定在定性 温度下流体的性质。
(4) 计算平均温度差,并根据温度校正系数不应小于0.8的原则,决定壳程数。
(5) 依据总传热系数的经验值范围,或按生产实际情况,选定总传热系数K选值。
(6) 由总传热速率方程Q=KSΔtm,初步算出传热面积S,并确定换热器的基本尺寸(如d、L、n及管子在管板上的排列等),或按系列标准选择设备规格。
计算管、壳程压强降
根据初定的设备规格,计算管、壳程流体的流速和压强降。检查计算结果是否合理或满足工 艺要求。若压强降不符合要求,要调整流速,再确定管程数或折流板间距,或选择另一规格的设备,重新计算压强降直至满足要求为止。
核算总传热系数
计算管、壳程对流传热系数αi 和αo,确定污垢热阻Rsi和Rso,再计算总传热系数K’,比较K得初始值和计算值,若K’/K=1.15~1.25,则初选的设备合适。否则需另设K选值,重复以上计算步骤 。
通常,进行换热器的选择或设计时,应在满足传热要求的前提下,再考虑其他各项的问题。它们之间往往是互相矛盾的。例如,若设计的换热器的总传热系数较大,将导致流体通过换热器的压强降(阻力)增大,相应地增加了动力费用;若增加换热器的表面积,可能使总传热系数和压强降降低,但却又要受到安装换热器所能允许的尺寸的限制,且换热器的造价也提高了。
此外,其它因素(如加热和冷却介质的用量,换热器的检修和操作)也不可忽视。

