一、哪些蒸汽管道需要疏水
由于散热损失,蒸汽管道内产生凝结水,若不及时排除,在管道改变走向处可能产生水击,造成振动、噪声甚至管道破裂。因此,蒸汽管道需要疏水。
一般有两种疏水方式:
a.经常疏水:在运行过程中所产生的凝结水通过疏水阀自动阻汽排水。
b.启动疏水:在启动、暖管过程中所产生的凝结水通过手动阀门排去。
下列蒸汽管道的各处应设经常疏水:
a.饱和蒸汽管道的末端、最低点、立管下端以及长距离管道的每隔一定距离;
b.蒸汽分管道下部;
c.蒸汽管道减压阀、调节阀前;
d.蒸汽伴热管末端。
下列蒸汽管道的各处应设启动疏水:
a.蒸汽管道启动时有可能积水的最低点;
b.分段暖管的管道末端;
c.水平管道流量孔板前,但在允许最小直管长度范围内不得设疏水点;
d.过热蒸汽不经常疏通的管道切断阀前,入塔汽提管切断阀前等。
根据《石油化工管道布置设计通则》(SH3012-2000)规定:
a.在蒸汽主管的末端应设分液包;
b.水平敷设的蒸汽主管上的分液包的间隔,在装置内,饱和蒸汽宜为80m,过热蒸汽宜为160m;在装置外,顺坡时宜为300m,逆坡宜为200m。
根据资料和设计经验,蒸汽管道每隔90-240m,在低点处和末端设分液包(或称集液管)并疏水。过热蒸汽管道只在开始暖管时产生凝结水,正常运行时不产生凝结水,故不需设经常疏水,只需在分液包下部设双阀(或单阀)排液;而饱和蒸汽管的分液包,则应在其侧面引出管进行经常疏水,并在其底部设排液阀。
凝结水分液包的型式及尺寸如图5-13-3及表5-13-2所示。

1-总管DN;2-分液包dN;3-闸阀;4-4″长短管;
5-闸阀;6-DN25短管长100mm;7-无缝三通

当蒸汽主管小于或等于DN80时,与主管径相同;当蒸气主管径DN大于100时为DN80,如图5-13-4所示。去疏水器的管道,必须设置如图所示的管卡。分液包的详图如图5-13-5所示。


二、蒸汽管道哪些位置需要疏水
蒸汽支管的低点一般应根据不同情况设置启动疏水或经常疏水。
当蒸汽支管为间断操作,或仅在暖管过程产生凝结水时,可设排液阀做为启动疏水,例如扫线用蒸汽和消防用蒸汽;当蒸汽支管为连续操作或处于经常待用状态时,应设疏水阀经常疏水,例如蒸汽伴热管的分管道和加热炉灭火蒸汽分管道等。
蒸汽管道应设置疏水点的场所,大致归纳如下见表5-13-3和图5-13-6。


图5-13-6蒸汽管设置疏水的场所
三、蒸汽管道的疏水量
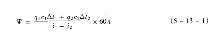
蒸汽管道的疏水量可按下列公式估算
a.蒸汽管道启动疏水的凝结水量:

式中W-凝结水量,kg/h;
q₁-单位长度钢管质量或单个阀门质量,kg/m或kg/个;
q₂-单位长度钢管或单个阀门的保温材料质量,kg/m或kg/个;
c₁-钢管的比热容,kJ/(kg*K);对于碳素钢可取c₁=0.4689,合金钢c₁=0.4856;
c₂-保温材料比热容,kJ/(kg*K),可近似地取c₂=0.8374;
Δt₁-钢管开温速度,℃/min;一般按5℃/min计算;
Δt₂-保温材料升温速度,℃/min;一般取△t₂=Δt₁/2;
i₁,i₂-操作压力下过热蒸汽的焓或饱和蒸汽的焓和饱和水的焓,kJ/kg;
n-管道长度或阀门数量,m或个。
b.蒸汽管道经常疏水的凝结水量:

式中Q-蒸汽管道单位长度散热量,W/m.
其他符号同式5-13-1。
四、蒸汽疏水管径
一般可按表5-13-4选用。

五、蒸汽管道的疏水管切断阀
蒸汽管道的疏水管切断阀应选用闸阀,当蒸汽的表压力大于或等于2MPa时,疏水管应装两个串联闸阀。

