斗式提升机是一种应用较为广泛的粉体垂直输送设备。由于其结构简单,横截面的外形尺寸小,占地面积小,系统布置紧凑,具有良好的密封性及提升高度大等特点,在现代过程。工业的粉体垂直输送中得到了普遍的应用。
一、斗式提升机的构造
图1-1 所示是一种常见的斗式提升机,它由环形链条10、连接在链条的料斗6、驱动链轮2、张紧链轮11等主要部件组成。斗式提升机的所有运动部件一般都罩在机壳里,机壳上部与传动装置(电动机1、减速器4及三角皮带传动3)和链轮2组成提升机的机头。机壳下部与张紧装置8、链轮11组成提升机机座。机壳的中部由若干节连接而成。

为防止运行时由于偶然原因(如突然停电)产生链轮和料斗向运行方向的反向坠落造成事故,在传动装置上还设有逆止联轴器。
被输送的物料由进料口9喂入后,被连续向上的料斗舀取、提升,由机头出料口5卸出。
按照牵引构件的形式,斗式提升机可分为带式提升机和链式提升机。带式提升机以胶带为牵引构件,优点是成本低、自重小、工作平稳无噪声、可采用较高的运行速度,因此有较大的生产率;其主要缺点是料斗在胶带上固定较弱,因此在输送难于舀取的物料时不宜采用。
链式提升机以链条为牵引构件,其优点是不受物料种类的限制,而且提升高度大;其缺点是运转时,链节之间由于进入灰尘而磨损甚剧,影响使用寿命,增加检修次数。
1、牽引构件
带式提升机用的胶带与前述胶带输送机的胶带是相同的,不过选择的带宽应比料斗宽度大30~40mm。胶带中帆布的层数按照胶带输送机的计算方法确定,但考虑到带上连接料斗时所穿的孔会降低胶带的强度,因此应将胶带输送机验算的安全系数增大 10%左右。
链式提升机用的链条是锻造环链和板链。图1-2是锻造环链结构图,图1-3是板链结构图。


2、 料斗
料斗是斗式提升机的承载构件。根据物料特性以及安装、卸载的不同,常制成深斗、浅斗和鳞式料斗三种。
① 深斗 称为S制法,深斗的几何形状如图1-4所示。由于其边唇的倾斜角度小,深度大,因此适应于输送干燥的、松散的、易于投出的物料,如水泥、碎煤块、干砂、碎石等。
② 浅斗 称为Q制法,浅斗的几何形状如图1-4所示,由于其边唇的倾斜角度大,深度小,因此适应于输送潮湿的、容易结块的、难于投出的物料,如湿砂、黏土等。

③ 鳞式料斗 鳞式料斗的几何形状如图1-5所示,它具有导向的侧边,在牵引构件上是连续布置的,因此卸料时物料沿着斗背溜下。这种料斗适用于输送较重的、半磨琢性的大块物料,同时适用于低速运行的提升机。

二、斗式提升机的应用
我国目前采用的斗式提升机主要有三种,即带式,环链式和板式。其规格性能如表1-1所示。

D型—胶带斗式提升机,用于输送磨琢性较小的块状物料,选用普通胶带时温度不超过80°C,选用耐热胶带时最高使用温度 200°C。
HL. 型—环链形斗式提升机,用于输送磨琢性较大的块状物料,被输送物料的温度不应超过 250°C。
PL.型—板式套筒滚子链斗式提升机,简称板链斗式提升机,适用于输送中等、大块、易碎、磨琢性较大的块状物料,被输送物料的温度不应超过250°C。
《水泥工业用环链斗式提升机》(JC 459.1—2006)将上述三种提升机的代号统一为TZH,其中乙表示重力式卸料方式。
斗式提升机规格用料斗的宽度表示,其规格形式代号可表示为:代号-料斗宽X提升高度-驱动装置安装形式。
其中料斗宽用毫米数表示,提升高度标准(JC 459.1—2006)中规定用毫米表示,实际应用中也常用米。传动方式分左装和右装。其规定如下:
左装:正面对着进料口,驱动装置装于左边,如图7-1所示。
右装:正面对着进料口,驱动装置装于右边,如图7-1所示。
如料斗宽为630mm,升高度力29436mm 左安装的传动装置,重力式卸料的环链斗式提升机可表示为 TZH630X29436左。
三、斗式提升机的装载和卸载方式
1、装载方式
斗式提升机的装载方式分掏取式和流人式两种。① 掏取式 掏取式如图 1-6(a)所示,由料斗在物料中掏取装料。这种装载方式主要用于输送粉状、粒状和小块状无磨琢性的物料。当掏取这些物料时,不会产生很大的阻力。掏取式装载时料斗的运行速度可为0.8~2.0m/s。
② 流入式 流入式如图 1-6(b)所示,物料直接流入料斗内。这种装载方式主要用于输送大块和磨琢性大的物料。为了防止在装载时撒落,料斗是密接布置的,而且料斗的运行速度不超过1m/s。实际应用中往往是两种方法兼有,仅以一种方法为主而已。

2、卸载方式
卸载方式分为三种:离心式[图 1-7(a)]、混合式[图1-7(b)] 和重力式[图1-7(c) ].
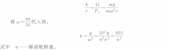
当料斗在直线段上等速上升时,只受到重力的作用。当料斗绕驱动轮一起旋转时,料斗内物料除了受到重力G作用外,还受到惯性力Fc的作用。


重力和惯性离心力的合力 N 的大小和方向随料斗的位置而改变,但其作用线与驱动轮中心垂直线始终交于同一点 P,P点称为极点。极点到回转中心的距离OP=h 称为极距。连接 M及O得到相似三角形MPO 和MFcN,从相似关系得到:

从上式可知,极距h只与驱动轮转速有关,而与料斗在驱动轮上的位置无关。随着转速n的增大,极距减小,惯性力增大;当转速n减小时,则极距增大,惯性力减小。当驱动轮转速一定时,极距h为定值,极点就固定了。
根据极点位置的不同,可得到不同的卸料方式。设驱动轮半径为r2,料斗外缘半径为r1。当h<r2、极点P位于驱动轮的圆周内时,惯性离心力大于重力,料斗内的物料沿着斗的外壁曲线抛出,这种卸料方式称为离心式卸料,常采用胶带作牵引构件,料斗运行速度一般1~5m/s,适用于输送干燥和流动性好的粉体。为了使各个料斗抛出的物料不致互相干扰,各个料斗应保持一定的距离。
当h>r1、极点P 位于驱动轮的圆周外时,重力大于惯性离心力,料斗内的物料沿着斗的内壁曲线抛出,这种卸料方式称为重力式卸料,常采用链板作为牵引构件,料斗运行速度一般0.4~0.8m/s,适用于输送比较沉重、磨蚀性大及脆性的物料。
当极点位于两圆周之间时,料斗内的物料同时按重力式和离心式的混合方式进行卸料,也即从料斗的整个物料面倾卸出来。这种卸料方式称为混合式卸料,常采用链条作为牵引构件,适用于中速下输送潮湿的、流动性较差的物料。
四、斗式提升机的选型计算
斗式提升机的选型一般是选择提升机的形式、型号规格、料斗形式和驱动功率,其选型步骤一般为:
① 根据物料的湿度、黏度选择斗型。
② 根据物料的粒度、输送量确定提升机型号。
③ 根据工艺过程要求的物料提升高度,确定提升机的输送高度。
④ 按提升机的输送高度查有关手册和产品样本的成套表,选出适当的高度。
⑤ 根据提升机的输送量、提升机轴距,由专门的表查出输送功率。图1-8为斗式提升机的传动装置功率图。也可用逐点计算法确定牵引力和功力,计算其功率,计算原理与胶带输送机功率的计算相同。


